Варианты кдр по алгебре 8 класс
варианты кдр по алгебре 8 класс



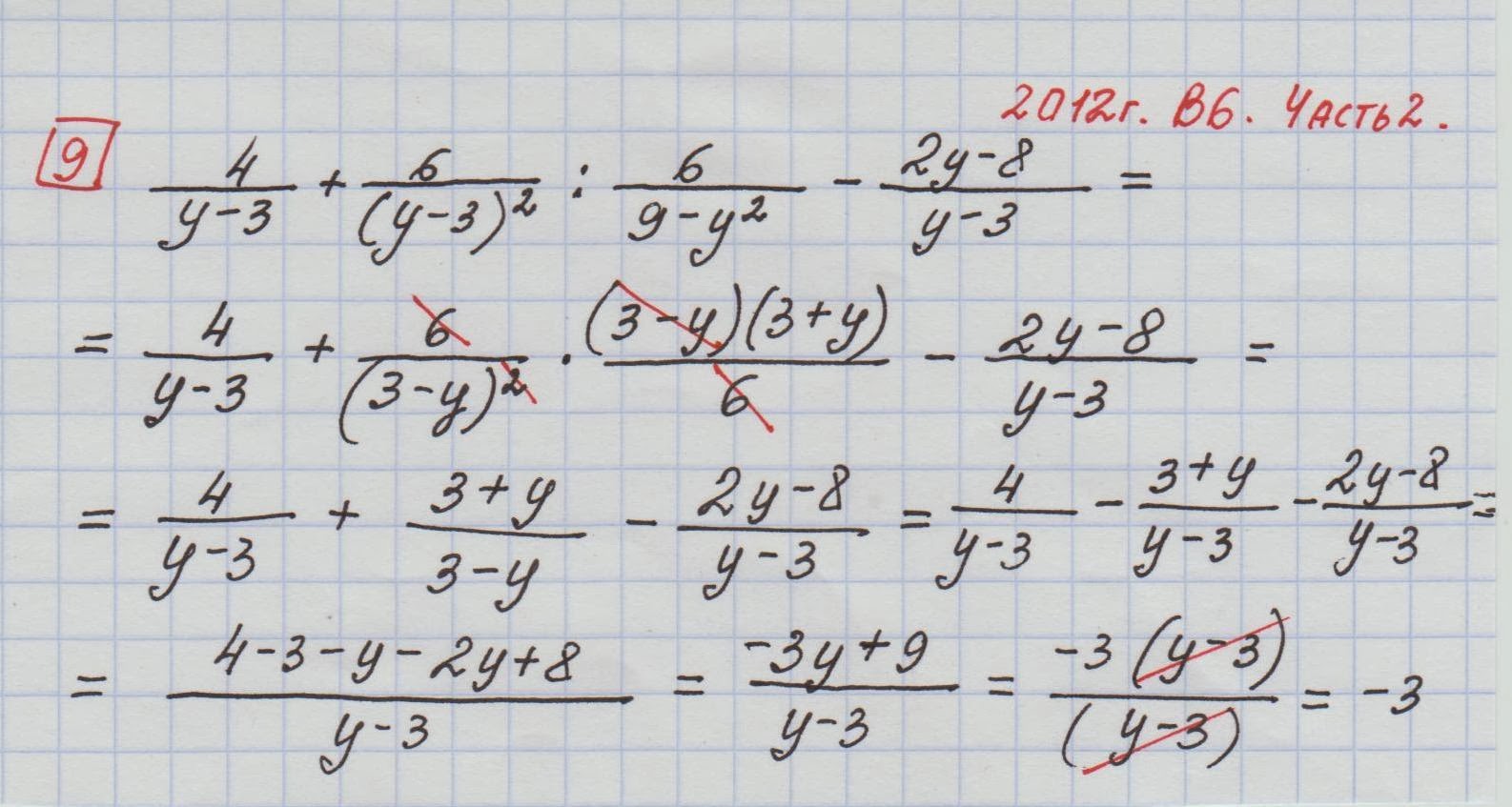
Подготовьтесь к краевой диагностической работе по математике за 8 класс, скачав прошлогодние варианты КДР у нас на сайте. Скачайте новые варианты КДР по алгебре (по математике) за 8 класс от 23 октября 2013 года. В контрольной есть 6 однотипных вариантов по алгебре с 8 заданиями, также имеются ответы и критерии оценивания к задачам. Алгебра 8 класс - варианты, ответы КДР - апрель 2014 год. 4) 5. АЛГЕБРА, 8 класс. 2. Упростите выражение. На весь путь он затратил 4 часа. Найдите скорость пешехода при ходьбе по лесу. АЛГЕБРА, 8 класс. Вариант № 2, Апрель 2012. варианты и ответы кдр по алгебре 7 класс 14 мая 2014 год 2. Дмитрий Ивлев. 8kl algebra 2014_noyabr. 8 класс задания и блак ответов. Mila Islamowa. кдр по математике 11 класс 23 апреля 2014. Скачайте новые варианты КДР по алгебре (по математике) за 8 класс от 23 октября 2013 года () . Скачать варианты КДР по алгебре 8 класс - . Категория - Учебные материалы, КДР алгебра, геометрия 8 класс. Ответы и решения задач КДР 2015 по алгебре 8 класс, Варианты задач КДР 2015 по алгебре 8 класс суббота, 24 октября 2015 г. Итоги КДР по алгебре в 8 классе (с решением задач), + пара огорчительных комментариев Архив КДР по математике 8 класс. АЛГЕБРА. 2014 год. Ответы на краевую диагностическую работу по алгебре, октябрь 2013 год. АЛГЕБРА, 8 класс. Вариант № 1, Ноябрь 2011. Краевая диагностическая работа по АЛГЕБРЕ. АЛГЕБРА, 8 класс. Вариант № 1, Ноябрь 2011. 2. Выберите выражение, тождественно равное данному. Здесь вы пишите кому будет нужна помощь по алгебре и геометрии а я вам помогу естественно не бесплатно. Я думаю 50 р будет достаточно. Если кого не будет устраивать можно будет договорится. Алгебра, 8 класс Демонстрационный вариант, апрель 2016. ФИЗИКА Демоверсия 9 класс, 2016 год. НЕМЕЦКИЙ ЯЗЫК, 11 класс Ответы, Демонстрационный вариант КДР, Февраль 2016.
